Marta
L’attività di ricerca svolta all’interno del progetto M.A.R.T.A. – “Metamateriali per Applicazioni Radar e Telecomunicazioni Avanzate” è stata indirizzata alla progettazione, realizzazione e testing di dispositivi innovativi basati su metamateriali volti ad aumentare le prestazioni di sistemi a microonde nell’ambito della Difesa Nazionale. In particolare, il progetto è stato articolato su tre grandi campi di ricerca per possibili applicazioni dei metamateriali:
- Dispositivi per la riduzione della RCS di bersagli;
- Antenne ad elevata direttività;
- Metamateriali microstrutturati in guida d’onda.
- La tecnica di progettazione proposta permette di realizzare schermi assorbenti innovativi in grado di introdurre ulteriori picchi di assorbimento sintonizzabili nel range di frequenze desiderato. Tale fine può essere raggiunto, semplicemente, sostituendo il back metallico di uno schermo commerciale con un back magnetico artificiale, opportunamente progettato. La metodologia seguita si basa sull’utilizzo di uno schermo tipo magnetico artificiale, (Artificial Magnetic Conductor - AMC). Al fine di dimostrare il concetto, è stato acquistato uno schermo di Salisbury commerciale e ne sono state migliorate le prestazioni, introducendo un ulteriore picco di risonanza. La struttura risultante, caratterizzata da un secondo picco di risonanza, è un multilayer di spessore sostanzialmente immutato rispetto a quello dello schermo di partenza. Come è ben noto dalla teoria dei materiali assorbenti di tipo elettrico, poggiando un foglio resistivo, con resistività superficiale pari a 377 Ω/sq, su un materiale caratterizzato da un alta impedenza, è possibile ottenere il completo assorbimento dell’onda incidente. La configurazione adottata, consente di mantenere la condizione ad alta impedenza, ottenuta a 10 GHz mediante un dielettrico di spessore λ/4 poggiato su un conduttore, e di introdurre tale condizione anche in corrispondenza di una frequenza minore dove lo spessore complessivo è circa λ/10.
- Ad oggi, al fine di ottenere un antenne ad alto guadagno vengono impiegate configurazioni ad array di elementi radianti. Gli svantaggi principali di tali configurazioni risiedono nella complessa rete di alimentazione che si rende necessaria per alimentare, con opportuni ritardi di fase, i vari elementi. La rete di alimentazione è caratterizzata da perdite molto ingenti per frequenze sopra i 10 GHz. La configurazione qui proposta è costituita da un singolo feeder (un’antenna a patch) che eccita una cavità risonante di tipo Fabry-Perot. Il metamateriale che compone il superstrato della cavità è una superficie parzialmente riflettente che è realizza tata mediante una Superficie Selettiva in Frequenza (FSS). Ad un elevata riflettività della FSS corrisponde un elevato fattore di merito della cavità e, conseguentemente, un ristretto angolo a metà potenza della radiazione uscente. La presenza del superstrato comporta un cospicuo aumento del guadagno del singolo elemento radiante ed un restringimento del fascio a metà potenza.
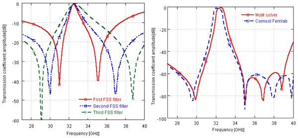
- E’ stato un filtro passabanda planare in guida d’onda a 33 GHz su GaAs con metallizzazione in oro. Tale frequenza è nella regione tipica della progettazione dei radar di tracking in quanto essi necessitano di una accurata risoluzione spaziale. Un filtraggio molto selettivo può essere ottenuto ponendo in cascata strutture filtranti opportunamente progettate ed ottenendo una somma di poli nel filtro risultante.

